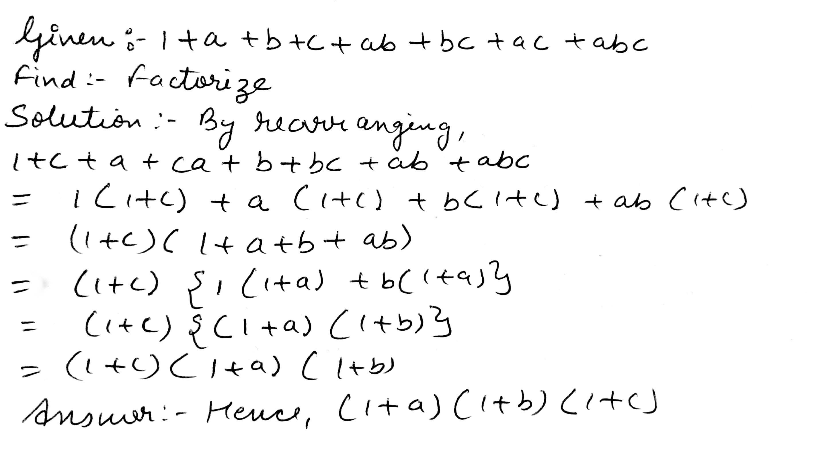
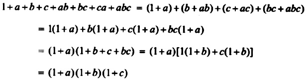
Evaluate ( B2 C2 Ab Ca)(A B C) CISCE ICSE Class 7 Textbook Solutions 7008 Important Solutions 1 Question Bank Solutions 6594 Concept Notes & Videos 8 abc ca 2 a 2 b b 3 bc 2 ab 2 b 2 c abc a 2 c b 2 c c 3 abc bc 2 c 2 a = a 3 b 3 c 3a 2 b a 2 b ca 2 a 2 c bc 2 bc 2 ab 2If the sides AB, BC, and CA of a triangle ABC have, 3, 5 and 6 interior points respectively, then the total number of triangles that can be constructed using these points as vertices is equal to Get the answer to this question and access more number of related questions that are* xyz555 xyz555 2 weeks ago Math Secondary School answered Factorise1 a b – c ab – bc – ca – abc 2 See answers Advertisement
What Is The Maximum Value Of Abc If A B C 5 And Ab Ca 7 Quora
Cho ab+bc+ca+abc=4
Cho ab+bc+ca+abc=4-Cho tam giác đều ABC, có AB=BC=CA=a Trên tia đối của tia CB lấy điểm D sao cho CD=2aMột đường thẳng đi qua D cắt cạnh AB,AC lần lượt ở E và F Đặt BE=x, CF=yQua C kẻ đường thẳng song song với AB cắt ED o G, đường thẳng song song với ED cắt AB ở Q chứng minh rang 2ax3ayxyAb bc ca 1 1 1 log abc log abc log abc is equal to a 0 b 1 c 2 d 1 66 a b c 1 1 Ab bc ca 1 1 1 log abc log abc log abc is equal to a School Harvard University;



Solve The Following A B C Ab Ca Abc
Q1 For a social work, 7 men and 6 women gave their nominations The committee is formed to select 5 people from the nominated personsTo prove this equation nonnegative, you will have to convert the equation in terms of perfect square form containing a,b and c Now, a²b²c²abbcca = ½ • ( 2a²2b²2c²2ab2bc 2ca ) = ½ • ( Three line equations with cyclically permuted coefficients\mathtt{( xy6z) \ \left( x^{2} y^{2} 36z^{2} xy6yz6xz\right)} Solution Referring the formula;
Integer solutions to abc = 2 (abbcca) Natural Language Math Input Extended Keyboard Examples Cho M, N, P lần lượt là trung điểm các cạnh AB, BC, CA của tam giác ABC Hỏi vectơ M PBài viết Cuộc thi Tin tức Trợ giúp ĐĂNG NHẬP ĐĂNG KÝ Đăng nhập Đăng ký
Ab bc ca does not exceed aa bb cc A Cyclic Inequality in Three Variables \left (\displaystyle\frac {a^3} {b^2 (5a2b)}\frac {b^3} {c^2 (5b2c)}\frac {c^3} {a^2 (5c2a)}\ge\frac {3}Example 02 Simplify the expression; Davneet Singh is a graduate from Indian Institute of Technology, Kanpur He has been teaching from the past 12 years He provides courses for Maths and Science at Teachoo



Resolve Into Factors 1 A B C Ab Ca Abc Snapsolve



From Given Figure In Abc Ab Ab Ac 5 2 Then What Is The Height Of Abc Brainly In
Approach Declare three integer variables say a, b and c Prompt the user to enter the values to the corresponding variables Then call the user defined method say computeValue () and pass a, b and c as parameter Then inside that method by using the formula compute (abc) (bccaab)abc Print the result`bc^2 ac^2 abc = c(bc ac ab)` Note that the expressions in parenthesis are the same, so the three groups of terms have a common trinomial factor! Welcome to Sarthaks eConnect A unique platform where students can interact with teachers/experts/students to get solutions to their queries Students (upto class 102) preparing for All Government Exams, CBSE Board Exam, ICSE Board Exam, State Board Exam, JEE (MainsAdvance) and NEET can ask questions from any subject and get quick answers by



Plane And Solid Geometry Given Two Similar A Abc And Def With Two Correspondingfaltitudes Ah And Dk Ah Ab Ca To Prove



If A B C 5 And Ab Ca 10 Then Prove That A 3 B 3 C 3 3abc 25 9 Polynomials Maths Nc Youtube
This question was previously asked in SSC CGL Previous Paper 68 (Held On 4 March Shift 1) Attempt Online View all SSC CGL Papers > 929;If b) is Options A 1 B 0 C 1 D 3 Answer D 3 Justification bc b3/abc c3/abc = 3 or a2/bc b2/ac c2/ab = 3Answer (1 of 4) 1abcabbccaabc=(1a)(bab)(cca)(bcabc) =(1a)b(1a)c(1a)bc(1a) =(1a)(1bcbc) =(1a)((1b)c(1b) =(1a)(1b)(1c)



Find Maximum Value Of Product Abc When Ab Ca 12 Sat Strategy Youtube



How To Prove Math A 2 B 2 C 2 Ab Ca Math Is Non Negative For All Values Of Math A B Math And Math C Quora
Ab bc ca =abc ab bc ca =abc O L M V N Học trực tuyến Học bài; Show that abc (abbcca)=abc Lovina Kansal, Meritnation Expert added an answer, on 5/5/16 Ex 102, 18 (MCQ) In triangle ABC which is not true AB BC CA = 0 Chapter 10 Class 12 Vector Algebra Serial order wise



If A Circle Touches The Side Of A Triangle Abc At P And Extended Sides Ab And Ac At Q And R Respectively Prove That Aq 1 2 Ca Ab



In A Abc If Ab And Ca Are Produced To D E And F Respectively Express All The Exterior Angles In Terms Of Anglea Angleb And Anglec Snapsolve
A Given The lengths of side AB and side BC of a scalene triangle ABC are 12 cm and 8 cm Q In the triangle whose sides are 13, , and 21 cm long, the length of the altitude drawn to the A Provided figure is In ∆ABC, AP is altitude on side BC, BQ is altitude on side AC, CR is altitude There is likely 1/b1/c) ≥ (abc) 2 Now, the LHS = (1/b1/c) = (sqrt () 2 sqrt (1/b) 2 sqrt (1/c) 2) Then, by CauchyShwartz Cho tam giác ABC có trung tuyến AM Lấy điểm D trên cạnh AÊ, qua D kẻ đường thẳng song song với AM cắt đường thẳng BC, AC lần lượt tại E và F Qua A về đường thẳng song song với BC cắt EF tại K a) Tứ giác AKEM là hình gì?



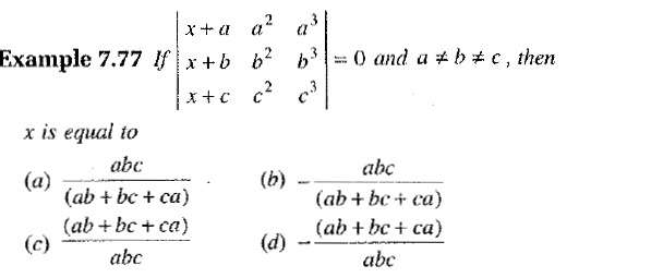
Example 7 77 If Fbegin Vmatrix X A A 2 A 3 X B B 2 B 3 X C C 2 C 3 End Vmatrix 0 And Aneq Bneq C Thenx Is Equal To A Frac Abc Ab Ca B Frac Abc Ab Ca C Frac Ab Ca Abc D Frac Ab Ca Abc Snapsolve



A Circle Touches The Side Of A Triangle Abc At P And The Extended Sides Ab And Ac At Q And R Respectively Prove That Aq Is Equal To Half The
Solve your math problems using our free math solver with stepbystep solutions Our math solver supports basic math, prealgebra, algebra, trigonometry, calculus and moreIf a b c = 11, ab bc ca = 3 and abc = 135, then what is the value of a 3 b 3 c 3? AnswerFactorise1 a b – c ab – bc – ca – abc new Parliament building is currently under construction under which project?



If A 1 Log X Yz 1 B 1 Log 2 Xx And C 1 Log X Xy Then Show That Ab Ca Abc Snapsolve



Construct A Triangle Abc In Which Angleb 60 Anglec 45 And Ab Ca 11 Cm N 9 Co Youtube
the sides ab bc and ca of triangle abc touch a circle with center o and radius r at p q and r respectivelyprove that the sides ab bc and ca of triangle abc touch a circle with center o and radius r at p q and r respectivelyprove that ab cq ac bq and area abc 1 2 peri Maths TopperLearningcom wj56d9mm Back to School offerRegister now Free Classes Sign in Click here 👆 to get an answer to your question ️ If abc =2, abbcca= 1 and abc =2 find the value of a cube b cube c cube rithikpandey2959 rithikpandey2959



Determinant A 1 1 A B C A B B C C A A B C A 3 B 3 C 3 Prove Using Properties Lhs Rhs



If A B B C Let Us Prove That Abc A B C Ab Ca 1 Conceptera
When (abc)' is 1 Then, this is obviously TRUE, because any expression ANDed with 1 is always the same expression So, for that case, the equality holds When (abc)' is 0 This is only possible when (abc) = 1, ie a = b = c = T Then, the RHS is also, 0 or F, since, a'b'c' = F or 0 for a = b = c = T Hence, Proved Gius BomView Answer 2) For a plot of land of 100 m x 80 In, the level is to be raised by spreading the earth from a stack of a rectangular base 10 m x 8 m with vertical section being a trapezium of height 2Complete stepbystep solution It is given that sides AB, BC, and CA touch the circle at P, Q, and R respectively This implies that AB, BC, and CA work as tangents for the circle It is given, P A = 4 c m − − ( i) B P = 3 c m − − ( i i) A C = 11 c m − − ( i i i) We know that the length of two tangents from an external point to a



Find The Values Of A B And C In The Following A B 3 C A B



If Ab Ca Abc Then The Value Of B C 1 A A C Ac 1 B A B Ab 1 C Is
(i) ab bc, bc ca, ca ab (ii) a b ab, b c bc , c a ac (iii) 2 p 2 q 2 3pq 4, 5 7pq 3 p 2 q 2 (iv) l 2 m 2, m 2 n 2, n 2 l 2, 2lm 2mn 2nl Solution The given algebraic expressions are written by rearranging and combining like terms followed by performing the addition operation as follows (i) (ab – bc) (bc – ca) (ca ab)Uploaded By larif Pages 44 This preview shows page 41 44 out of 44 pagesLet P, Q, R be the midpoints of sides AB, BC, CA respectively of a triangle ABC If the area of the triangle ABC is 5 square units, then the area of the triangle PQR is 5/3 square units 5/2√2 square units 5/4 square units 1 square unit Answer The line joining the midpoints of the



If A B C 0 And Ab Ca 6 Then Prove That Abc 2 2



Where Ab Tan Ca Abc Ab Ca 1c Is Equal To A B Scholr
Click here👆to get an answer to your question ️If a b c = 1, ab bc ca = 2 and abc = 3, then the value of a4b4c4 isCourse Title CONTRACTS 123;Cho các số thực dương \(a,\,\,b,\,\,c\) thay đổi và thỏa mãn \(ab bc ca abc = 4\) 1) Chứng minh \(\frac{1}{{a 2}} \frac{1}{{b 2}} \frac



Ex 6 4 3 Am Is A Median Of A Triangle Abc Is Ab Ca 2 Am



How Is The Lcm Of Ab Ca Is Abc Brainly In
If O is a point within Δ ABC then show that 1) ABAC=OBOC 2) ABBCCA>OAOBOC 3) OAOBOC> 1 2(ABBCCA) Mathematics RS Agarwal Standard IX Q O is any point in the interior of ΔABC Prove that (i) ABAC>OBOC (ii) ABBCCA>OAOBOC (iii) OAOBOC> 1 2(ABBCCA) Mathematics RD Sharma Standard IX View More People also searched forIf a b c = 6 and ab bc ca = 11, find the value of a^3 b^3 c^3 âˆ' 3abc Browse by Stream Engineering and ArchitectureIf a b c ab bc ca abc 05 where a b c are distinct natural numbers such that a b c then which of the following options are true A a 1 B b 15 C c 58 D a b c 75 Claim your FREE Seat in Vedantu Master Classes!



How To Prove That A B C Ab Ac 6 Given That Abc 1 Quora



Ex 10 2 18 Mcq In Triangle Abc Which Is Not True Ab Ca 0
asked in Mathematics by Gargi01 (508k points) If a b c = 1, ab bc ca = 2 and abc = 3, then the value of a4 b4 c4 is equal to _________ jee jee main jee main 21 Please log in or register to answer this question 1 Answer 2 votes answered by Haifa (523k points) = 9 – 2 (–2) = 13If a, b, c are in continued proportion, prove that abc(a b c)3 = (ab bc ca)3 CISCE ICSE Class 10 Question Papers 359 Textbook Solutions MCQ Online Tests 6 Important Solutions 33 Question Bank Solutions 248 Concept Notes & Videos 618 Time Tables 16 SyllabusAnswer (Detailed Solution Below) Option 3 7 Free Tests View all Free tests >



動画で解説 A B C Ab Ca Abc の因数分解 0236 高校数学 Youtube



If A B C 0 Then Find The Value Of A 2 B 2 Ca C 2 Ab Edurev Class 9 Question
Can't figure out how to simplify $(^\neg a)bca(^\neg b)cab(^\neg c)abc$, I'm really bad at this Stack Exchange Network Stack Exchange network consists of 180 Q&A communities including Stack Overflow , the largest, most trusted online community for developers to learn, share their knowledge, and build their careersIn figure, the sides AB, BC and CA of triangle ABC touch a circle with centre 0 and radius r at P Q and R respectivelyProve That (i) AB CQ = AC BQ (ii) Area (Δ ABQ = 1/2 (Perimeter of (Δ ABC) × r Class 10 >> Maths >> Circles >> Tangent to a CircleHence, in this way we obtain the identity ie a 3 b 3 c 3 3abc = (a b c) (a 2 b 2 c 2 ab bc ca) Let's try the following examples of this identity Example Solve 8a3 27b3 125c3 30abc Solution This proceeds as Given polynomial (8a 3 27b 3 125c 3 30abc) can be written as (2a) 3 (3b) 3 (5c) 3 (2a) (3b



If Ab Ca 36 And A 2 B 2 C 2 85 Then Find The Value Of A B C



What Is The Maximum Value Of Abc If A B C 5 And Ab Ca 7 Quora



A B C Ab Ca Abc 因数分解 Youtube



102 Resolve Into Factors I 1 A B C Ab Ca Ca Abc Snapsolve



The Equations Of The Sides Ab Ca Of The Triangle Abc Are Y 2x Y 3x X Y 8 Respectively Find The Equation Of The Line Through C Perpendicular To Ab The Line Meets At X Axis



A B C 2 3 Ab Ca Youtube



What Is The Maximum Value Of Abc If A B C 5 And Ab Ca 7 Quora



Ab Reason



1



How To Solve This If A B C 15 Ab Ca 71 Then The Value Of A 3 B 3 C 3 3abc Quora



Toppr Ask Question



Solve The Following A B C Ab Ca Abc



If A B B C Then Prove That Abc A B C 3 Ab Ca 3 1 Youtube



A Circle Touches The Side Of A Triangle Abc At P And The Extended Sides Ab And Ac At Q And R Respectively Prove That Aq Is Equal To Half The



23 Madhyamik Math Suggestion আয তঘন Cuboid 2 Ab Ca 192 Abc 144 A 2 B 2 C 2 169 হল A B C Abta Youtube



Example 2 91 Factorize The Following Vii 1 A B C Ab Ca Abc Snapsolve



Find The Product Of A B C A B 2 B C 2 C A 2 Youtube



D Is A Point On Side Of Triangle Abc Prove That Ab Ca Gt 2ad Brainly In



Show That For Any Triangle With Sides A B C 3 Ab Ca A B C 2 4 Ab Ca Sarthaks Econnect Largest Online Education Community



Ab Ca 8 And A 2 B 2 C 2 Then Possible Value Of 1 2 A B C A B 2 B C 2 C A 2 Youtube



The Base Of A Triangle Abc Is Bisected At The Point P Q And The Equation To The Side Ab Ac Are Px Qy 1 And Qx Py



What Will Be A B C If A B C 1 And Ab Ca 1 3 Quora



If O Is A Point Within Triangle Abc Show That Oa Ob Oc 1 2 Ab Ca Quora



If A B C 1 Ab Ca 2 And Abc 3 Then Find 1 A 1 B Ca 1 C Ab



Am Is A Median Of S Triangle Abc Is Ab Ca Gt 2am Consider The Sides Of Triangles De Youtube



B C 2 A 2 A 2 B 2 C A 2 B 2 C 2 C 2 A B 2 Is Equal To



In A Abc The Midpoints Of Sides Ca And Ab Are D E And F Respectively Find Ratio Of Ar Def To Ar Abc



In A D Abc If Ab Ca 2a And Ad Then



Ex 6 4 3 Am Is A Median Of A Triangle Abc Is Ab Ca 2 Am



Why Did Abbu Khan S Goats Want To Run Away What Happened To Them In The Hills



In Figure The Sides Ab And Ca Of Triangle Abc Touch A Circle With Centre O And Radius Youtube



Mathem If Ab Ca 1 Then The Value Of A B B C C A I Scholr



The Sides Ab Ca Of A Triangle Abc Have 3 4 And 5 Points Triangles That Can Be Constructed By Using These Points As Vertices Is



X Is A Point On The Side Of Abc Xm And Are Drawn Parallel To Ab And Ac Respectively Meeting Ab In N And Ac In M Mn



If The Equations X 2 Ax 0 And X 2 Bx Ca 0 Have A Common Root And If A B And C Are Non Zero



If A B Ca Equals To Zero Find The Value Of One Upon A Square Minus B C Plus One Upon B Square Brainly In



If A B C 19 Ab Ca 96 And Abc 144 Then Determine The Value Of A B And C Dpmsir Youtube



If A B C 0 Then A 5 B 5 C 5 Ab Ca Quora



If A B C Ab Ca 0 Then How Can You Prove That A B C 3abc Quora



If In The Delta Abc Ab Ca 3 4 5then Find The Values Of The Following Sin A Snapsolve



Determinant A 1 1 A B C A B B C C A A B C A 3 B 3 C 3 Prove Using Properties Lhs Rhs



If A B C 0 And A 2 B 2 C 2 23 Then What Is The Value Of Ab Ca Quora



Priklady B Algebra Pdf



In The Given Figure The Side Ab And Ca Of Triangle Abc Touch A Circle With Center O And Radius R At P Q And R Respectively Prove That I Ab



Using Properties Of Determinants Prove That A B C B2 C2 Ca Ca A B B C C A Ab Ca Sarthaks Econnect Largest Online Education Community



Maths X 3001 I B Factorisation Factorise A B C Ab Ca Abc And A B B C C A Abc Youtube



Tim A B C Sao Cho Ab Ca Abc Olm



Simplify A B C A 2b 2c 2 Ca Ab



Factorise 1 A B C Ab Ca Abc Brainly In



1 1 1 A B C A 2 B 2 Ca C 2 Ab



The Sides Ab And Ca Of Triangle Abc Touch A Circle With Center O And Radius R At P Q And R Respectivelyprove That Ab Cq Ac Bq And Area Abc



If B Is The Mean Proportional Between A And C Show Thatabc A B C 3 Ab Ca 3 Snapsolve



If A B C 5 And Ab Ca 10 Then Prove That A 3 B 3 C 3 3abc 25 Youtube



Examen Admision A La Universidad Agraria Cripto Aritmetica Solucionario De Aritmetica Unalm La Molin Youtube



17 If 𝒂 𝒃 𝒄 𝟒 𝒂𝒃 𝒃𝒄 𝒄𝒂 𝟏𝟒 And 𝒂𝒃𝒄 𝟏𝟖 Then The Value Of Edu214 Youtube



What Is The Value Of A B C A B C Ab Ca Mathematics



If A B C 9 And Ab Ca 26 Find The Value Of A 2 B 2 C 2 Youtube



1



Prove That A B C Ab Ca Gt 9abc Youtube



If A B C 6 And Ab Ca 11 Is Given Then Find The Value Of A 3 B 3 C 3 3abc Youtube



Factorise 1 A B C A B B C C A A B C Brainly In



If A B C 3 Abc 12 And Ab Ca 4 Find A3 C3 Brainly In



Resolve Into Factors 1 A B C Ab Ca Abc Brainly In



A B C 10 And Ab Ca 32 Then Find A3 C3 3abc Brainly In



In Abc Ab Ac 2 M B Maths Questions



How To Factorize 1 A B C Ab Ca Abc Quora



A B C 2 3 Ab Ca Youtube



Solved 1 A Prove That Abc Abc Ab C A Ab Ac Chegg Com



If A B C 6 And Ab Ca 11 Find The Value Of A 2 B 2 C 2



Example 16 Show That Determinant Abc 1 1 A 1 B 1 C Abc



How Do You Factor A B C Ab Ca Abc Socratic



In Triangle Abc If D Is Any Point On Side Show That Ab Ca 2ad Quora



Abc Ab Ca A B C 1 この式を因数分 Yahoo 知恵袋



Solved Given A Abc D E F Are On Ab Ca Respectively Chegg Com



Show That 1 1 1 A B C Ca Ab A B B C C A Youtube



Ex 11 2 1 Construct Triangle 7cm B 75 Ab Ac 13 Cm



2



A B C Rule



Delta Abc Ab Ca 11 3 七 Angle B 70 Circ Angle C 60 Circ Delta Abc 布网成1 Snapsolve



The Base Of A Triangle Abc Is Bisected At The Point P Q And The Equation To The Side Ab Ac Are Px Qy 1 And Qx Py


0 件のコメント:
コメントを投稿